福鼎论坛
首页
论坛
资讯
图库
动态
群组
手机版
开启辅助访问
请登录
立即注册
搜索
快捷导航
福鼎
新闻资讯
爆料
美食
摄影
旅游户外
休闲
汽车
文化
爱美时尚
妈宝
婚嫁
情感
房产家居
运动
兴趣
公益
论坛
跳蚤市场
二手房
租房
招聘求职
二手车
售房
互动
打开签到
写日记
兴趣群组
排行榜
站务
站务处理
新手帮助
网友中心
广告投放
用户名:
忘记密码?
密 码:
下次自动登录
QQ帐号登录
微信帐号登录
请
登录
后使用快捷导航
没有帐号?
立即注册
当前位置:
论坛
›
≡城事生活≡
›
桐城生活
›
2016年福鼎市新任教师招聘考试笔试成绩公布、2016年福鼎 ...
刚刚去过
2016年福鼎市新任教师招聘考试笔试成绩公布、2016年福鼎市教师进城选调考试笔试成...
[复制链接]
微信扫一扫 分享朋友圈
已有
20704
人穿越成功
教程:手机怎么扫描二维码
论坛君
论坛君
+ 关注
当前离线
发消息
查看详细资料
积分
103063
IP卡
狗仔卡
发表于
2016-5-14 17:38:44
|
显示全部楼层
|
阅读模式
来自:福建宁德
马上注册,结交更多好友,享用更多功能,让你轻松玩转社区。
您需要
登录
才可以下载或查看,没有帐号?
立即注册
x
▼
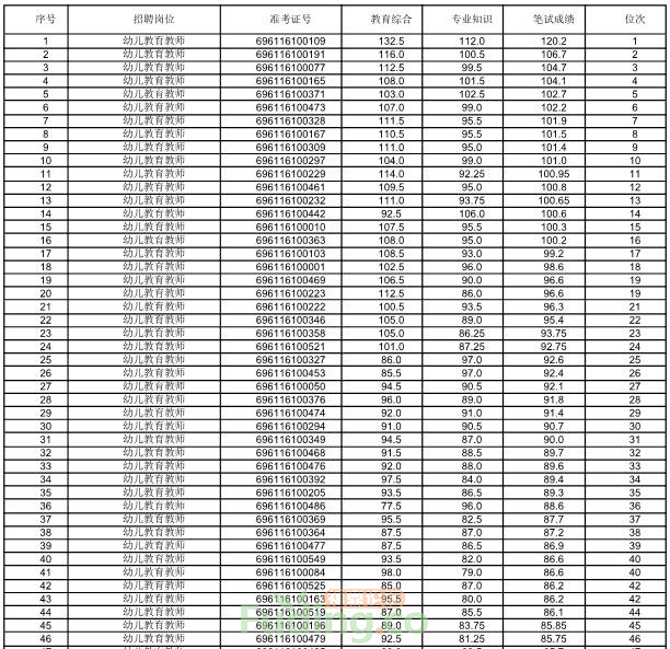
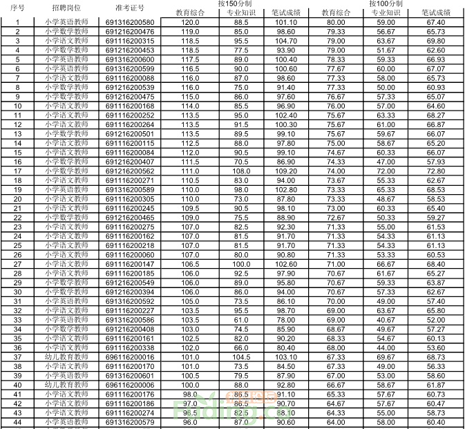
【请点击图片放大查看】
2016年福鼎市
新任教师
招聘考试笔试成绩公布
2016年福鼎市
新任教师
公开招聘笔试加分人员名单公示
登录/注册后可看大图
根据省市有关文件规定,经审核
现将2016年福鼎市公开招聘新任教师
符合笔试加分人员予以公示
公示时间:2016年5月13日-19日
公示电话:7851306、7820061
2016年福鼎市
教师进城选调考试笔试成绩公布
登录/注册后可看大图
快来看看,名单上有没有你
!?
教师招聘
,
福鼎市
相关帖子
福鼎市桐南小学(海湾校区)
福鼎这些地方4月13日-20日要停电!
福鼎市公安局悬赏通缉令!以下这9个福鼎人是逃犯!~悬赏通缉!
福鼎市行政事业单位国有资产(处置)管理规定
福鼎论坛,福鼎人上福鼎论坛,福鼎第一人气社区,福建社区100强尽在fuding.co
回复
使用道具
举报
提升卡
置顶卡
沉默卡
喧嚣卡
变色卡
千斤顶
显身卡
刚刚去过
高级模式
B
Color
Image
Link
Quote
Code
Smilies
您需要登录后才可以回帖
登录
|
立即注册
本版积分规则
发表回复
回帖并转播
回帖后跳转到最后一页
48小时热帖排行
2024年4月16日签到记录贴
福鼎论坛网友群,在线结识58万福鼎人
782名中小学(幼儿园)教师获高级职称,福鼎7人获评~有你认识的
福鼎到福州(顺风车)
福鼎海景房,优选恒大未来城
长安CS55—PLUS 2020款 1.5T 自动炫色型
福鼎南站乱收费
增坪村两委包庇私人大面积违建
【20210504】福了个鼎探店报名帖
2022年11月17日签到记录贴
邀请您加入福鼎论坛一块做好事公益组织。
二手家用小冰箱
(山前房间出租)【直达山前六中校区】
出租:(山前房间出租、可直达山前六中学区
山前房间出租【可直达新六中校区】
美食配美酒
月租房 1500/月 包水电 附赠早餐
财富广场单身公寓出租
一层房间,独立厨房卫浴,家电齐全拎包入住
房间出租
© 1998-2020
福鼎论坛
版权所有,并保留所有权利。
福鼎论坛不良信息举报电话:0593-7077007 19105930001
我们的网址是https://www.fuding.co
举报邮箱:www@fuding.co
Powered by
Discuz!
X3.4
运营主体:
福鼎论坛网络有限公司
闽ICP备14008072号-2
快速回复
返回顶部
返回列表